| 일 | 월 | 화 | 수 | 목 | 금 | 토 |
|---|---|---|---|---|---|---|
| 1 | ||||||
| 2 | 3 | 4 | 5 | 6 | 7 | 8 |
| 9 | 10 | 11 | 12 | 13 | 14 | 15 |
| 16 | 17 | 18 | 19 | 20 | 21 | 22 |
| 23 | 24 | 25 | 26 | 27 | 28 | 29 |
| 30 |
- 코딩도장
- ChatGPT
- Rocky Linux
- OSS
- cloud
- 인터넷의이해
- colab
- Powershell
- 고등학생 대상
- Docker
- rnn
- KAKAO
- suricata
- Database
- ICT멘토링
- C언어
- Machine Learning
- git
- 국가과제
- Spring
- Resnet
- Github
- Web
- LINUX MASTER
- API
- 크롤링 개발
- Spring Boot
- VSCode
- Python
- GoogleDrive
- Today
- Total
코딩두의 포트폴리오
[2020실기] 1회 본문
*약술형은 용어를 설명할 수 있는 키워드를 포함해서 1~2줄로 간략히 입력
1. 소프트웨어 테스트 방법의 일반적인 원리 중 하나인 살충제 패러독스의 개념을 간략히 설명하시오.(약술형)
동일한 테스트 케이스로 반복 실행하면 더 이상 새로운 결함을 발견할 수 없으므로 주기적으로 테스트 케이스를 점검하고 개선해야 한다.
2. 데이터 마이닝의 개념을 간략히 설명하시오.(약술형)
많은 데이터를 분석하여 미래에 실행 가능한 정보를 추출해 내고 의사 결정에 활용하는 과정
3. 프로토콜에 필요한 3가지의 구성요소를 작성하시오.
구문, 의미, 타이밍(시간)
4. 웹 브라우저 간 HTML 문법이 호환되지 않는 문제와 SGML의 복잡함을 해결하기 위하여 개발된 다목적 마크업 언어는 무엇인가?
XML
5. 속성-값 쌍으로 이루어진 데이터 오브젝트를 전달하기 위해 사용하는 개방형 표준 포맷이다.
AJAX에서 많이 사용되고 XML을 대체하는 주요 데이터 포맷이다.
언어 독립형 데이터 포맷으로 다양한 프로그래밍 언어에서 사용되고 있다.
JSON
6. 학생 테이블에 전기과 학생이 50명, 전산과 학생이 100명, 전자과 학생이 50명 있다고 할 때,
다음 SQL문을 각각 실행시키면 결과 튜플 수는 각각 몇 개인가? (단, DEPT는 학과 컬럼명)
SELECT DEPT FROM STUDENT;
SELECT DISTINCT DEPT FROM STUDENT;
SELECT COUNT(DISTINCT DEPT) FROM STUDENT WHERE
DEPT = '전산과';
200(DEPT 칼럼 그대로 모두 조회),
3(DEPT 컬럼의 중복을 제거한 학과 목록),
1(WHERE절에서 전산과인 튜플만 선택)
7. LoC 기법으로 개발을 해야 하는 프로젝트의 총 라인이 30000 라인이고, 개발자가 5명, 그리고 인당 월평균 300라인의 개발이 가능할 때, 개발하는데 소요될 것으로 예상되는 시간의 계산식과 그 결과를 작성하시오.
(전체 LoC를 1명이 한 달 동안 개발할 수 있는 양으로 나눈 뒤 개발자 수로 나누면 총 개발 기간(개월)이 나옴)
(30,000 / 300) / 5 = 20개월
8. 아래는 데이터베이스 트랜잭션의 4가지 속성입니다. (가), (나)에 들어갈 단어를 적으십시오.
| (가) | 트랜잭션은 연산들을 전부 실행하든지 전혀 실행하지 않아야 한다. 일부만 실행해서는 안 된다. |
| 일관성 | 트랜잭션이 성공적으로 실행되면 데이터베이스 상태는 모순되지 않고 일관된 상태가 된다. |
| (나) | 트랜잭션 실행 도중의 연산 결과는 다른 트랜잭션에서 접근할 수 없다. |
| 지속성 | 트랜잭션이 성공했을 경우 영구적으로 반영되어야 한다. |
(가) 원자성 (나) 격리성(독립성)
9. 패킷의 출발지 주소나 포트를 임의로 변경하여 출발지와 목적지 주소(또는 포트)를 동일하게 함으로써, 공격 대상 컴퓨터의 실행 속도를 느리게 하거나 동작을 마비시켜 서비스 거부 상태에 빠지도록 하는 공격 방법을 무엇이라고 하는가?
랜드어택 or 랜드
10. 128비트 암호화 해시 함수이다. RFC 1321로 지정되어 있으며, 주로 프로그램이나 파일이 원본 그대로인지를 확인하는 무결성 검사 등에 사용된다. 1991년에 로널드 라이베스트가 예전에 쓰이던 MD4를 대체하기 위해 고안한 것은 무엇인가?
MD5
11. (가), (나)에 들어갈 단어를 각각 적으시오.
모듈의 기능적 독립성은 소프트웨어를 구성하는 각 모듈의 기능이 서로 독립됨을 의미하는 것으로, 모듈이 하나의 기능만을 수행하고 다른 모듈과의 과도한 상호작용을 배제함으로써 이루어진다. 모듈의 독립성을 높이기 위해서는 (가)는 약하게, (나)는 강하게 만들어야 한다.
(가) 결합도, (나) 응집도
12. 다음의 C코드의 결과를 쓰시오.(단, 출력 문의 출력 서식을 준수하시오.)
#include <stdio.h>
void align(int a[ ]) {
int temp;
for (int i = 0; i < 4; i++)
for (int j = 0; j < 4 - i; j++)
if (a[j] > a[j+1]) {
temp = a[j];
a[j] = a[j+1];
a[j+1] = temp;
}
}
main() {
int a[ ] = { 85, 75, 50, 100, 95 };
align(a);
for (int i = 0; i < 5; i++)
printf("%d ", a[i]);
}
50 75 85 95 100 (버블정렬 오름차순)
https://gmlwjd9405.github.io/2018/05/06/algorithm-bubble-sort.html
[알고리즘] 버블 정렬(bubble sort)이란 - Heee's Development Blog
Step by step goes a long way.
gmlwjd9405.github.io
13. 다음 자바 코드의 결과를 쓰시오.(단, 출력 문의 출력 서식을 준수하시오.)
public class Test {
static int[ ] arr( ) {
int a[ ] = new int[4];
int b = a.length;
for(int i = 0; i < b; i++)
a[i] = i;
return a;
}
public static void main(String[ ] args) {
int a[ ] = arr( );
for(int i = 0; i < a.length; i++)
System.out.print(a[i] + " ");
}
}
0 1 2 3
14. 다음의 C 코드의 결과를 쓰시오.(단, 출력 문의 출력 서식을 준수하시오.)
#include <stdio.h>
main() {
int c = 1;
switch (3) {
case 1: c += 3;
case 2: c++;
case 3: c = 0;
case 4: c += 3;
case 5: c -= 10;
default: c--;
}
}
-8
15. 릴리즈 노트를 작성할 때 릴리즈 노트 이름, 소프트웨어 이름, 릴리즈 버전, 릴리즈 날짜, 릴리즈 노트 날짜, 릴리즈 노트 버전 등이 들어가는 항목은 어느 부분인지 작성하시오.
해더
16. 비선점형 스케줄링 HRN의 우선순위 계산식을 작성하시오.
(대기 시간 + 서비스 시간) / 서비스 시간
17. OSI 7계층 중 전송에 필요한 두 장치 간의 실제 접속과 절단 등 기계적, 전기적, 기능적, 절차적 특성에 대한 규칙을 정의하는 계층은 무엇인지 작성하시오.
물리 계층 (Physical 계층)
18. 아래 보기는 애플리케이션 성능을 측정하기 위한 요소들이다. (가), (나), (다)에 들어갈 단어를 적으시오.
| (가) | 일정 시간 내에 애플리케이션이 처리하는 일의 양 |
| (나) | 애플리케이션에 요청을 전달한 시간부터 응답이 도착할 때까지 걸린 시간 |
| (다) | 애플리케이션에 작업을 의뢰한 시간부터 처리가 완료될 때까지 걸린 시간 |
| 자원 사용률 | 애플리케이션이 의뢰한 작업을 처리하는 동안의 CPU 사용량, 메모리 사용량, 네트워크 사용량 등 자원 사용률 |
(가) 처리량 (나) 응답 시간 (다) 경과 시간
19. 비정규화에 대하여 간단히 서술하시오.
시스템의 성능 향상을 위해 수행되는 의도적인 정규화 원칙을 위배하는 행위를 말한다.
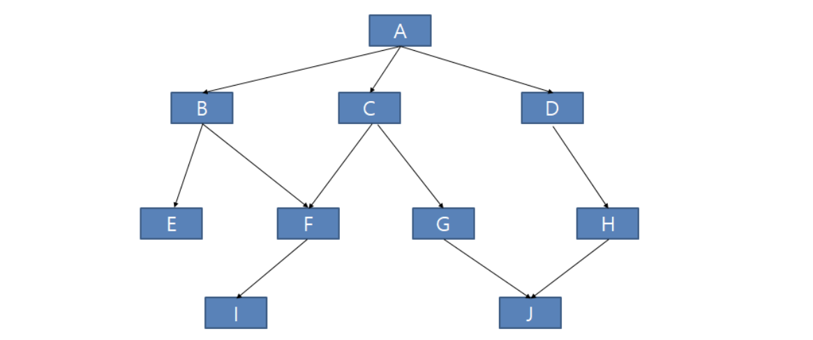
20. 다음의 시스템 구조도에서 팬인(Fan-In)이 2 이상인 것을 작성하시오.

F, J
'정보처리기사 > 2020 실기' 카테고리의 다른 글
| [2020실기] 3회 (0) | 2025.11.26 |
|---|---|
| [2020실기] 2회 (0) | 2025.11.23 |
